2次ベジェ曲線は、3次でも同じものが作れるはずだが、その場合2つの制御点はどこなのだろう?
調べてみると既出だったが、自力で計算してみた。
まず、2次ベジェ曲線の式と3次ベジェ曲線が等しい。
これを、tでくくってみる。
1番目の式に、t=0.5を代入する。
変形すると、P1とP2の中点が、始点と終点の中点からPaを結ぶ線分上の、2/3 地点であることがわかった。
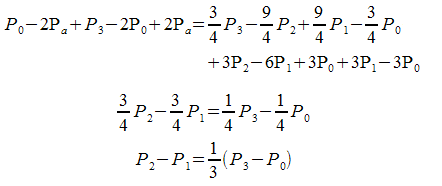
これだけではP1とP2が特定できないため、微分した式に対してもt=0.5を代入して式を整理していく。

ベクトルP1P2が、ベクトルP0P3の1/3 であることがわかった。
よって、P1はP0とPaの2/3地点、P2はP3とPaの2/3地点となる。





