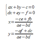
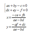
C#で数学 直線同士の交点 曲線のついでに直線の交点について考えてみた。 あくまでも、考えてみただけである。 2直線の式を得る 2点(x1,y1) , (x2,y2)を結ぶ直線で ax+by+c=0 の式がなければ求めておく。 連立方程式を解く 交点が線分上にあるか調べる 必要に応じて、交点が直線の範囲内にあるかを調べる。 共有: X で共有 (新しいウィンドウで開きます) X Facebook で共有 (新しいウィンドウで開きます) Facebook いいね 読み込み中… 関連