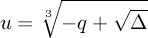
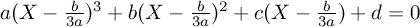
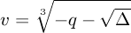
C#で数学 3次方程式を解く 「解の公式は4次まである」などという言葉を聞いていたので 簡単に計算出来そうだと思っていたが、結構面倒だった。 元の式を として 上のように変換し、展開し、a で割る。 結果、 の形式になる。 これを使ってu, v を作る。 u, v は値が3つずつある。 その中から、u * v = -p となる u + v を選ぶ。それがX。 とりあえず絶対値の差が0に近いものを選んだ。 共有: X で共有 (新しいウィンドウで開きます) X Facebook で共有 (新しいウィンドウで開きます) Facebook いいね 読み込み中… 関連
「3次方程式を解く」への2件のフィードバック