曲率や、曲率半径を求めてみる 曲率の逆数が曲率半径らしい。
http://ja.wikipedia.org/wiki/%E6%9B%B2%E7%8E%87 wikipedia の曲率の項目が難しいように見えたので調べてみると、
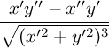
このような形になっていることがわかった。 2階微分しなければならない。
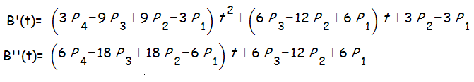
maximaで計算してみた。
こういうことになるのだろう。
曲率や、曲率半径を求めてみる 曲率の逆数が曲率半径らしい。
http://ja.wikipedia.org/wiki/%E6%9B%B2%E7%8E%87 wikipedia の曲率の項目が難しいように見えたので調べてみると、
このような形になっていることがわかった。 2階微分しなければならない。
maximaで計算してみた。
こういうことになるのだろう。